MOMENTUM DAN TUMBUKAN
Momentum Dan Tumbukan
Momentum dan Tumbukan
Dilansir dari Buku Get Success UN+SPMB Fisika (2006) oleh Kamajaya, Impuls dan momentum keduanya merupakan besaran vektor.
implus adalah perubahan momentum suatu benda.
Rumus Implus:
I = F.t
Sedangkan,Momentum besaran yang menunjukkan ukuran kesukaran guna memberhentikan gerak suatu benda.
Rumus momentum:
p = m.v
Keterangan:
I = impuls (Ns)
p = momentum (Ns)
Δp = perubahan momentum (Ns)
Jadi, benda-benda yang hanya dalam keadaan bergerak akan memiliki momentum.
Hukum Kekekalan Momentum
Dalam sebuah sistem, jumlah momentum awal dan jumlah momentum akhir dari suatu sistem adalah tetap yang disebut dengan hukum kekekalan momentum.
Persamaannya:
m1v1 + m2v2 = m1v1+m2v2
m1v1 +m2v2 = momentum awal kedua benda
m1v1 + m2v2 = momentum akhir kedua benda
Tumbukan
Bila dua benda bertumbukan, maka pada setiap tumbukan juga berlaku hukum kekekalan momentum, yaitu jumlah momentum benda sebelum dan sesudah tumbukan adalah tetap.


Keterangan:
e = koefisien restitusi
Nilai dari e -> 1 =< e =< 0
Untuk:
- e = 1 : Tumbukan lenting sempurna, dalam hal ini berlaku hukum kekekalan energi kinetik.
- 1>e>0 : Memiliki nilai bilangan pecahan, artinya tumbukan lenting sebagian.
- e = 0 : Tumbukan tidak lenting sama sekali.
Jadi, jika terjadi tumbukan lenting sempurna atau elastis maka berlaku hukum kekekalan energi kinetik yang persamaannya:

Hal yang khusus juga dapat kita temukan pada pemantulan bola oleh lantai.
Rumus pemantulan bola oleh lantai:


Keterangan:
h1 = tinggi bola mula-mula
h2 = tinggi bola setelah melakukan sekali tumbukan dengan lantai
e = koefisien restitusiContoh soal 1
Bola menumbuk dinding dengan kecepatan v, kemudian oleh dinding dipantulkan kembali dengan besar kecepatan yang sama dalam arah tegak lurus. Tentukan perubahan momentum bola.
tumbukan bola ke dindingJawab:
Δp = p akhir - p awal
Δp = m(-v)-mv
Δp = -2mvJadi, perubahan momentum bola -2mv. Dengan catatan kecepatan awal selalu dianggap positif dan saat berbalik arah kecepatannya menjadi negatif.
Baca juga: Hubungan Usaha dan Energi Potensial untuk Mencari Banyaknya Tumbukan
Contoh soal 2
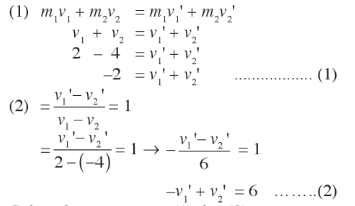
Dua buah bola massanya sama besar bertumbukan sentral dari arah yang berlawanan. Bila masing-masing kecepatannya sebelum tumbukan v1 = 2 m/s dan v2 = 4 m/s. Tentukan kecepatan masing-masing bola setelah bertumbukan secara lenting sempurna.
A. 2 m/s dan 4 m/s
B. 4 m/s dan 2 m/s
C. 3 m/s dan 3 m/s
D. -2 m/s dan -4 m/s
E. -4 m/s dan -2 m/sJawab:
Diketahui:

(arah berlawanan dengan v1) karena tumbukan lenting sempurna, maka e = 1.Dengan menggunakan persamaan:
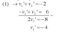
penghitungan soal tumbukanGabungkan persamaan (1) dan (2)
penghitungan soal tumbukanDari persamaan (1) di atas, didapatkan:
-4 + v2' = -2
v2' = -2 m/sJadi, kecepatan bola 1 adalah -4 m/s, dan kecepatan bola 2 adalah -2 m/s. Jawaban (E).



Komentar
Posting Komentar